Bring Back the German Tanks
Math Medic

Today’s blog post comes from AP Stats guru Josh Tabor. Josh is an AP Statistics teacher at Canyon del Oro High School in Oro Valley, AZ. He is a long-time AP Reader, Table Leader, and Question Leader and presents workshops around the country. He is also the co-author of The Practice of Statistics for AP Statistics and two textbooks for on-level statistics: Statistics and Probability with Applications and Statistical Reasoning in Sports.
With your sampling distribution unit on the horizon, it’s time to revisit and revise the old German Tank activity.
I love this activity for a number of reasons, including the fact that it helped me understand the idea of a biased estimator after years of struggle. I also liked the creativity involved and how it gave students exposure to sampling distributions other than sample means and sample proportions. But, judging from reactions I get at workshops, many teachers have tried—and subsequently ditched—a version of this activity. If you aren’t familiar with it, here is a quick summary of the context and the activity.
The Original Activity
In World War II, the Germans were meticulous about putting serial numbers on every piece of equipment they produced. When the Allies captured a German tank, they wrote down the date, location, and every serial number they could find. This information was passed along to statisticians in Washington D.C., where they used the data to estimate how many German tanks they might encounter on D-Day. [i]
A common version of the German Tank Activity starts with a bag of objects numbered from 1 to N, where Nis the number of objects in the bag. I use craft sticks and call it the “Craft Stick Activity.” I don’t tell students about the German Tank context until the end, as solutions to the activity are easily searchable otherwise.
With students, I first present the bag and pull out a stick or two to demonstrate what’s inside. I then explain that their goal is to estimate the total number of sticks in the bag, based only on a random sample of n = 7 sticks and the fact that they are numbered from 1 to N. I don’t give them the sample of sticks until the end of the activity, as students tend to obsess over those 7 stick numbers rather than think about estimation methods more generally.
In the traditional approach to the activity, students work in groups to brainstorm statistics they could use to estimate the total number of sticks in the bag. I usually offer an example to get them started, such as doubling the sample median.
And this is where the activity typically grinds to a halt. Students—even working in groups—have a very difficult time creating their own statistics. The frustration they felt overwhelmed any good that came out of the activity.
What I Do Now
Then I met David Ellinger. David and his students at Seattle Preparatory School had the same frustrations as we did. But instead of just struggling with it year after year, he improved the activity by asking “what do I really want kids to gain?” He decided the most important goals are to increase student comfort with sampling distributions and for students to discern key features of sampling distributions, including the bias and variability. He simplified the activity to focus on student evaluation of various statistics rather than trying to create the statistics themselves.
Inspired by David’s realization, here is how my updated activity works:
-
Students form groups of 3 or 4 students.
-
Each group is assigned a preliminary statistic to use. I only use three different statistics at this point, so some groups end up with the same statistic. The three preliminary statistics I use are:
a. Twice the sample median
b. Sample mean + 3 sample standard deviations
c. Sample maximum
-
To see how well each statistic works, each group tests their statistic by assuming the population has N = 100 sticks. Using their calculators, they generate a random sample of n = 7 numbers from 1 to 100, calculate their statistic, and record the value. They do this as many times as possible, adding their values to class dotplots. Here is an example of what the dotplots might look like.

At this point we have a class discussion about the graphs. “What do you notice?” Usually students are quick to comment about the centers: twice the sample median is centered near 100, the population total. On the other hand, using the mean plus 3 standard deviations typically overestimates the total—bias! And even more interesting is the fact that the sample maximum consistently underestimates the population total— also bias! That is, the sample maximum is a biased estimator of the population maximum. Until doing this activity, my only experience with sampling distributions was with sample means and sample proportions. In both of those cases, the sample __ is an unbiased estimator of the population __. But this isn’t true of other estimators, such as the sample maximum and the sample range. Light bulb!*
*Earlier in the course, students learned that a sampling method (e.g., convenience sampling, voluntary response sampling) can be biased, but here the statistic itself is biased because of the formula used to estimate the parameter.
After discussing center and bias, students usually point out that twice the sample median is quite variable. In fact, we might prefer the sample max to twice the sample median, even though the latter estimator is biased. After the discussion, students return to their groups with the following instructions:
-
Based on what we have learned, create a new statistic or modify one of the original three statistics so that it does a better job. Remember to work quietly, as you don’t want other groups stealing your good ideas!
-
Test your potential statistics as many times as possible, as we did in the above dotplots.
-
On a sheet of paper, list the names of your group members and the statistic you think is best (a formula). Then, after I reveal the 7 stick numbers in the sample, write down your estimate for the total number of sticks in the bag (a number). The group that gets the closest estimate will win a prize!
Wrapping it Up
With about 5 minutes left in class, I select the sample of 7 sticks and reveal the stick numbers. Teams have 2 minutes to submit their entries and I reveal the winning entry before the end of class.
Kids usually come up with some good modifications of the preliminary statistic (e.g., sample max + sample min, twice the sample mean, sample mean + 1.5 sample standard deviations).
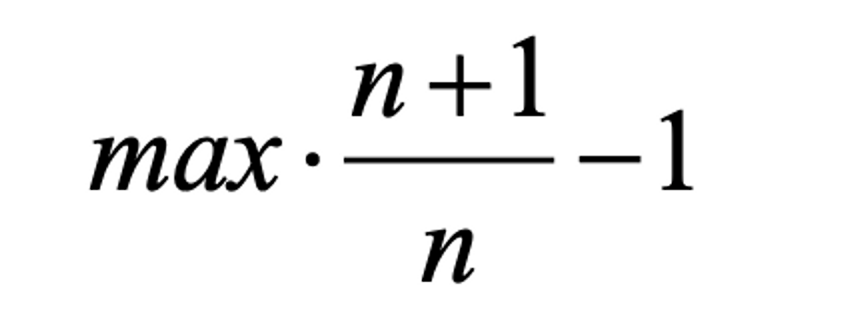
What did the statisticians in Washington D.C. choose as the best statistic?

where n is the sample size and max is the sample maximum. And how did it work? Quite well! They predicted that the Germans were producing Mark V “Panther” tanks at a rate of 270 per month. After the war, the exact figures were discovered: In February 1944, the Germans produced 276 of these tanks.
Tanks to Luke and Lindsey for the great work they are doing at Math Medic, and for letting me share my thoughts about this engaging and educational activity.
ACTIVITY DOWNLOADS: The Updated German Tank Problem
Answer Key:
[i] Significance, December 2013, p28.
Check out this German Tank Problem applet, created by Edward Harvey.


