Early Solutions to the 2021 AP Calculus AB Free Response
Math Medic
Teaching AP Calculus is challenging but the 48 hours between the exam and the free response release are probably the hardest! We love seeing the new questions and working through them, always amazed at the original ways the College Board incorporates multiple concepts into a single question. You can see this year’s AB questions here. Although the official scoring guidelines don’t release until the summer, here’s a first attempt at solutions.






Reflections:
The integrand in 1b was a product of the radius and the density, which added a new component to the traditional Riemann sum approximation. To find the height of each rectangle, students would have to multiply the radius by the density. The width of each rectangle is of course the length of the interval, or the change in the radius.
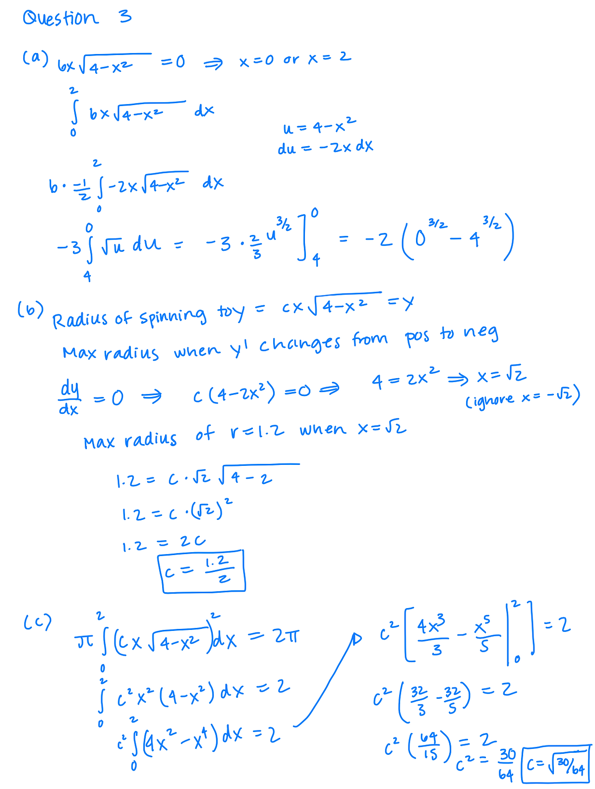
The spinning toy question (FRQ #3) will likely go down in history with the hot potato question of 2017 (2017AB4) in which students averaged only 1.54 out of 9 possible points! The introduction of a parameter “c” is somewhat unfamiliar in area/volume questions and the concept of a maximum radius in part b had many of my students stumped. Moving forward, we’ll want to continue to think about how we can help students “think on their feet” when it comes to tackling questions they’ve never seen before.
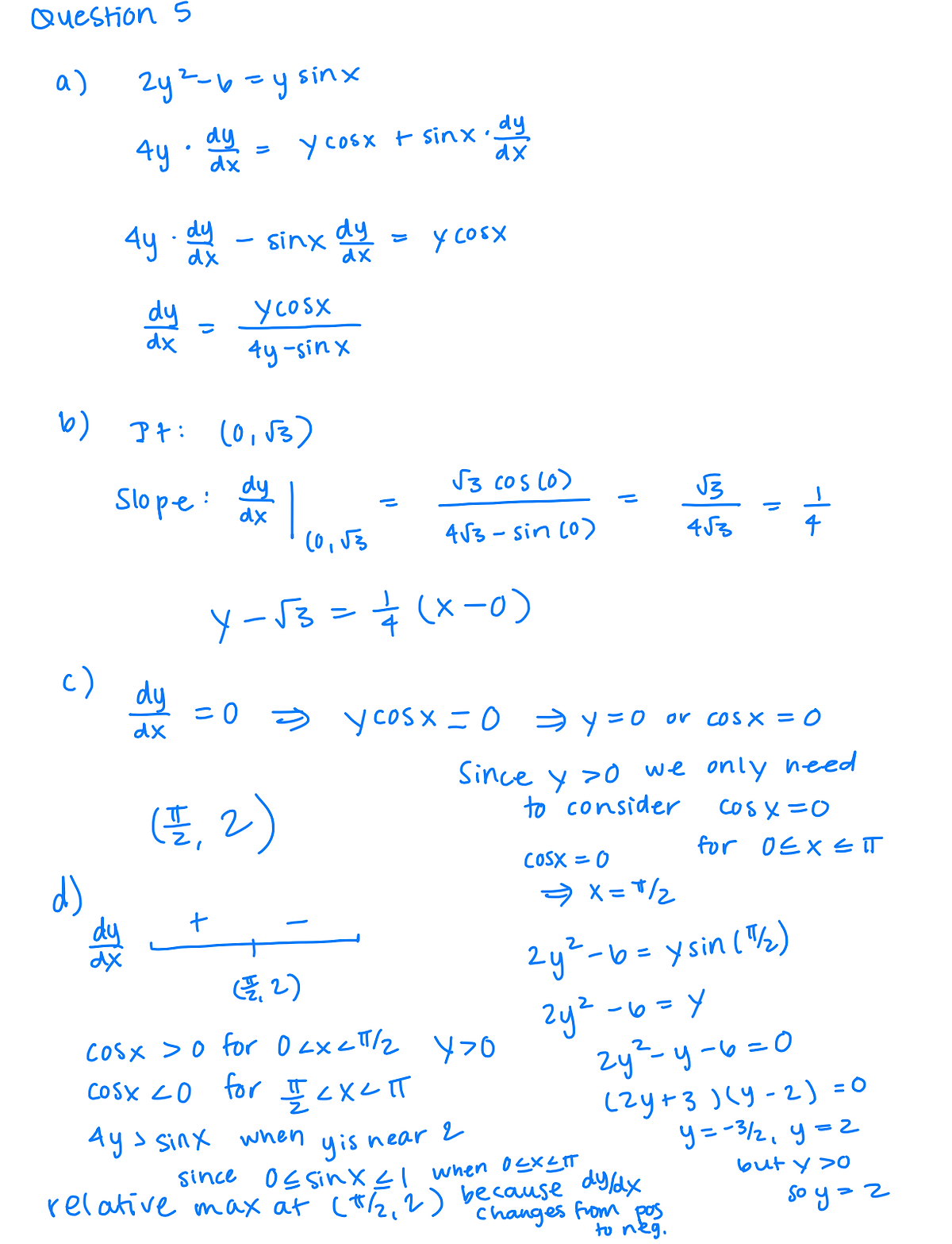
Question 5d required a bit more work than usual to justify the relative extrema. The second derivative test would work well, but requires the quotient rule, product rule, and implicit differentiation! I chose to go with the first derivative test and compare the behavior of dy/dx near the critical point by analyzing the signs of the numerator and denominator. We’ll have to see how the College Board allocates points on this one!
What did you think about this year’s questions? How might they inform our teaching practice moving forward?


