Early Solutions to the 2023 AP Calculus Free Response
Math Medic
We’re excited to once again share with you our early solutions to this year’s AP Calc Free Response Questions. This year’s solutions feature both the AB and BC questions! Note that questions 1, 3, and 4 were identical on both exams. We’ve listed all 6 AB questions first, and then the three BC only questions.
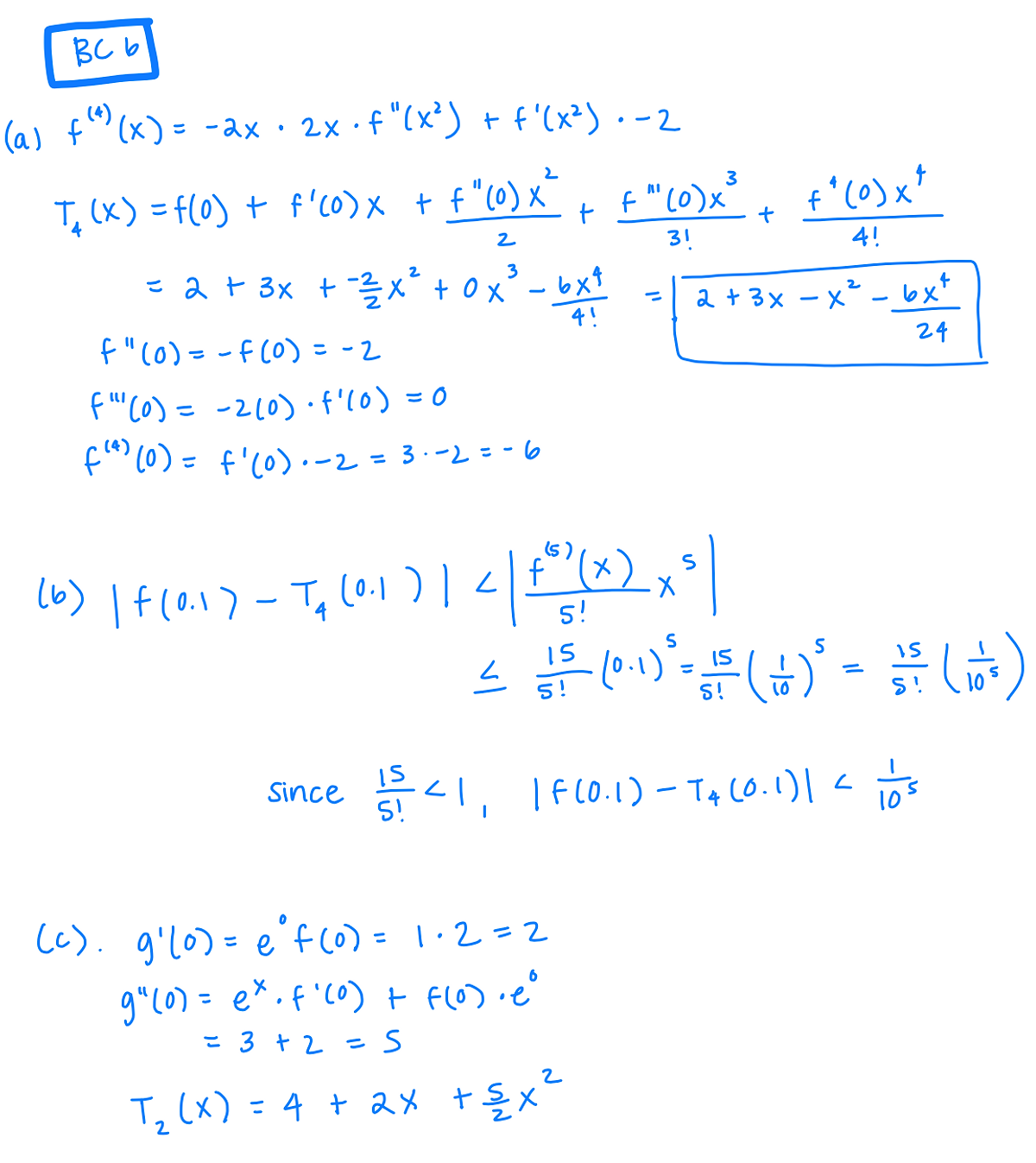
Some of of our exam predictions turned out to be spot on (finding a second derivative on the differential equation problem!), but who would have thought there would be no rate-in, rate-out question?
You can see this year’s AB questions here and BC questions here. Although the official scoring guidelines don’t release until the summer, here’s a first attempt at solutions. (Please be gentle if we have any errors!).









Reflections:
Overall, we thought this year’s exam was…easy? Or at least not surprising in any way. Most questions felt familiar and perhaps even less computation heavy than in some other years. We were surprised that question 1 was not a rate-in rate-out question!
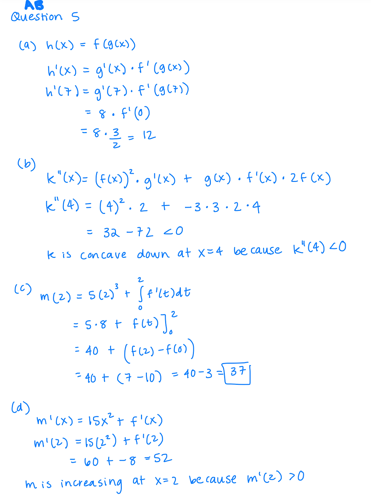
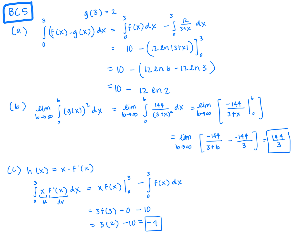
We think students will do very well on questions 1 and 2. Question 3 is more difficult but differential equations of this type have been on the exam for several years now. Let’s hope they remember that negative sign from the u-substitution when solving the differential equation! Question 4 also felt very accessible and did not require all that much geometry to find the values of f in the Candidate’s Test. Question 5 was that fun function mash-up that we thought would be on LAST year’s exam. It’s never a bad day to know the chain rule, product rule and FTC! Question 6 was perhaps the most challenging but still not too bad. Will students be able to generate a strategy for solving 6d? We love how this question on the AB exam previews some Calc BC topics!
Note that for the sake of these solutions we have simplified our answers a bit more than we might recommend to students. Remember that all equivalent answers are accepted!
What did you think about this year’s questions? How might they inform our teaching practice moving forward?


