Early Solutions to the 2024 AP Calculus Free Response
Math Medic
We’re excited to once again share with you our early solutions to this year’s AP Calc Free Response Questions. This post will cover both the AB and BC solutions. Note that questions 1, 3, and 4 were identical on both exams. We’ve listed all 6 AB questions first, and then the three BC only questions.
Some of our exam predictions turned out to be spot on (graph of f with an accumulation function, and an area/volume FRQ 6), but we were wrong (again) about a rate-in/rate-out problem. Notably this year we did NOT see L’hospital’s rule or as much of the chain rule as we had predicted.
You can see this year’s AB questions here and BC questions here. Although the official scoring guidelines don’t release until the summer, here’s a first attempt at solutions. (Please be gentle if we have any errors!).
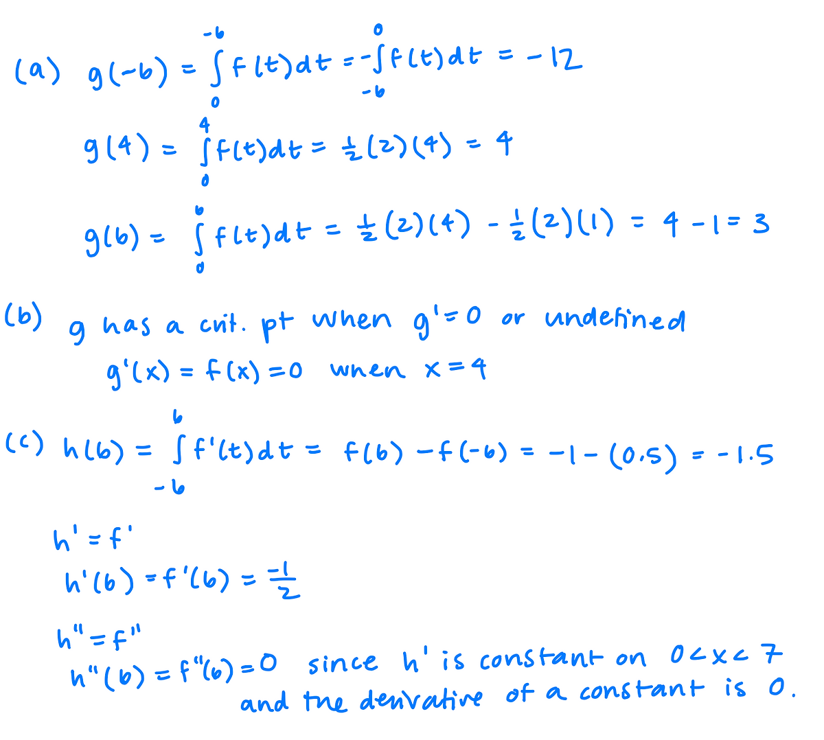
AB/BC Question 1

AB Question 2

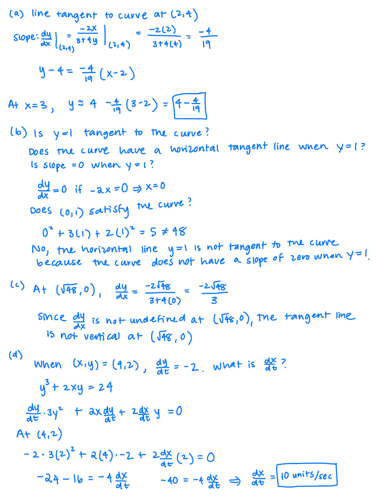
AB/BC Question 3

AB/BC Question 4

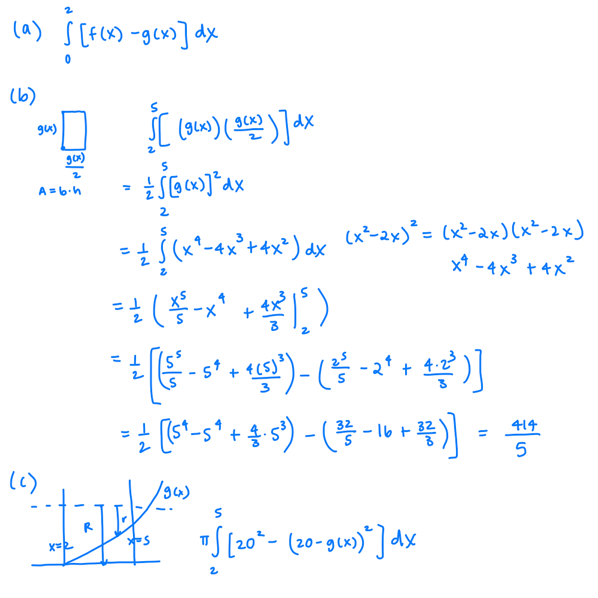
AB Question 5

AB Question 6

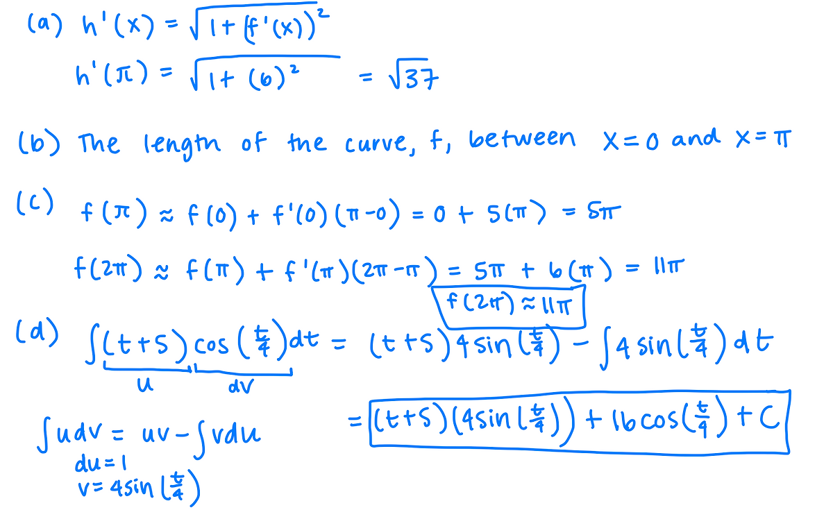
BC Question 2

BC Question 5

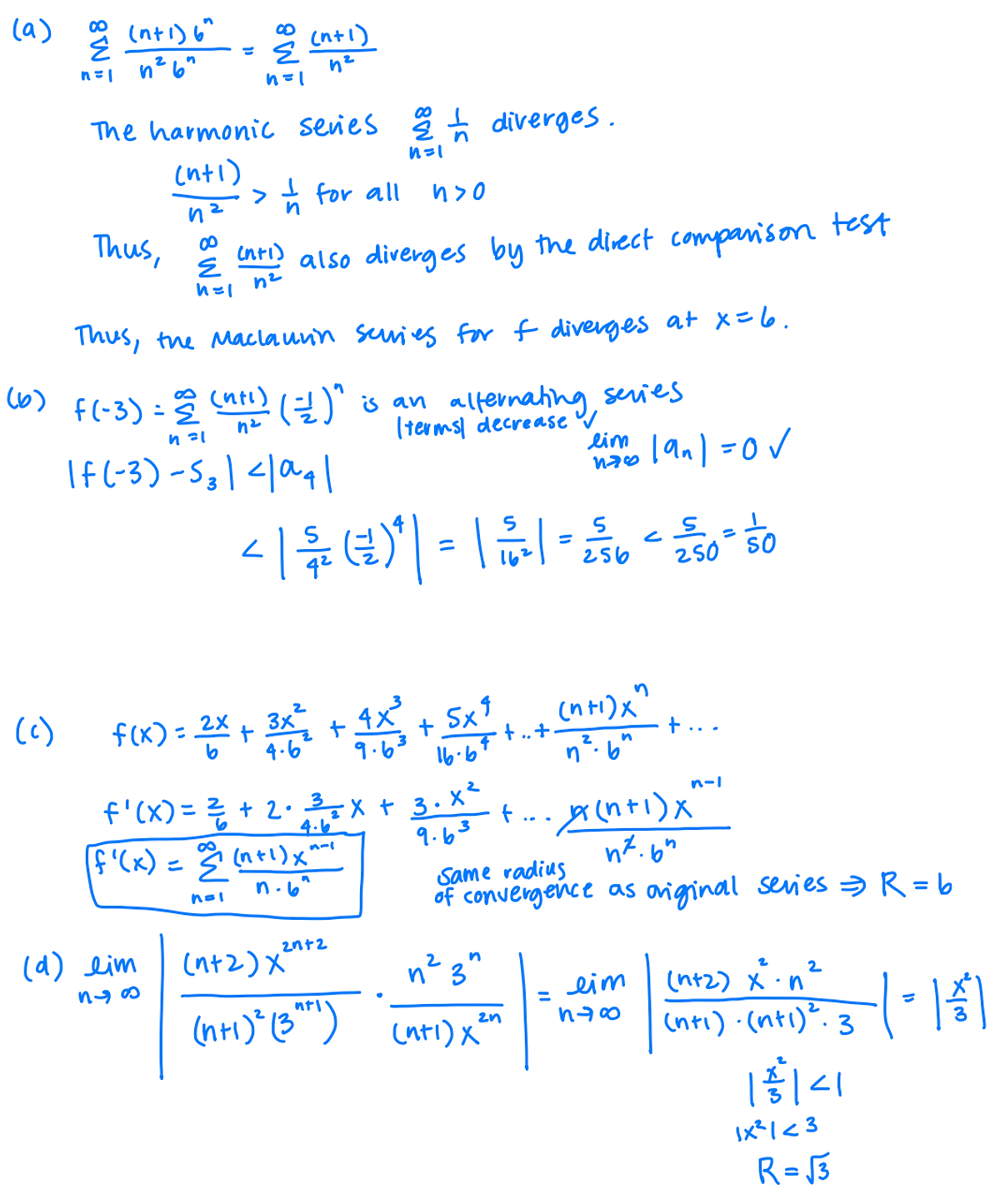
BC Question 6

Reflections:
We thought the questions this year were fair, and actually quite similar to last year’s. Some skills seemed to be repeated in AB1 and AB2, while much less emphasis was placed on the chain rule and product rule. No questions were related to the IVT, MVT, or L’hospital’s rule. Most notably, there was not a single question about an absolute extrema requiring the Candidate’s Test! This is usually a big hit on the exam!
The contextual differential equation (AB/BC 3) is becoming quite of a trend, especially with sketching a solution curve in part a and solving the differential equation in the final part.
We think our BC students may struggle with FRQ 6 as there was a lot going on, but they should feel fairly comfortable on BC 2 and BC 5. Nothing too surprising there!
Note that for the sake of these solutions we have simplified our answers a bit more than we might recommend to students. Remember that all equivalent answers are accepted!
What did you think about this year’s questions? How might they inform our teaching practice moving forward?


