Early Solutions to the 2025 AP Calculus Free Response
Math Medic
As you’ve come to expect by now, we’re sharing with you our early solutions to this year’s AP Calc Free Response Questions! Today’s post will include solutions to both the AB and BC questions. Note that questions 1, 3, and 4 were identical on both exams. We’ve listed all 6 AB questions first, and then the three BC only questions.
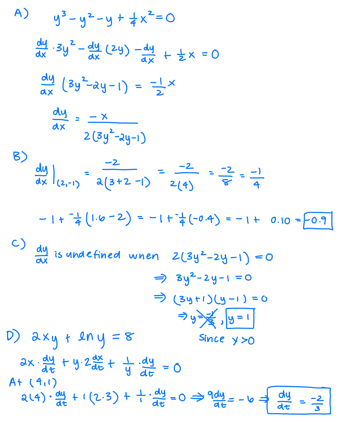
While we hit the nail on the head with some of our exam predictions (polar area between two curves, and IVT on the tabular question that represented a rate of change), we were definitely wrong about others, like which questions would appear on the calculator section (area/volume this year, not particle motion!). We also did not anticipate another implicit differentiation question.
You can see this year’s AB questions here and BC questions here. Although the official scoring guidelines don’t release until the summer, here’s a first attempt at solutions. (Please be gentle if we have any errors!).
AB/BC Question 1

AB Question 2

AB/BC Question 3

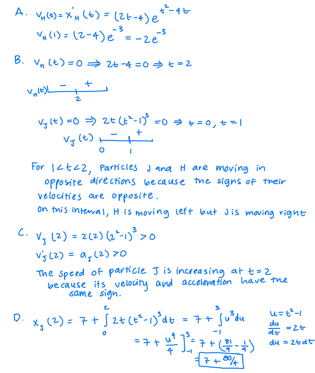
AB/BC Question 4

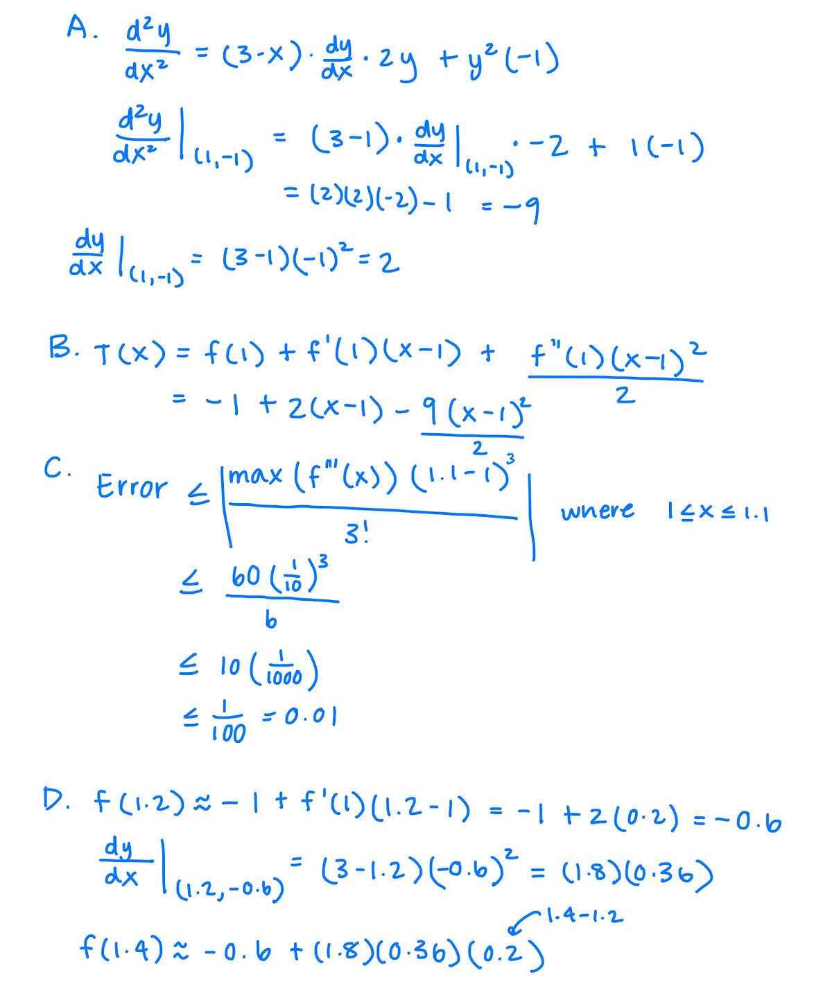
AB Question 5

AB Question 6

BC Question 2

BC Question 5

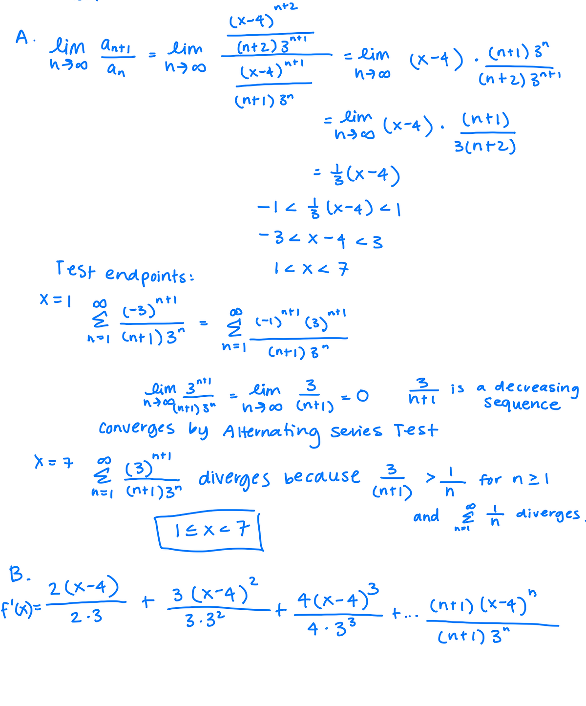
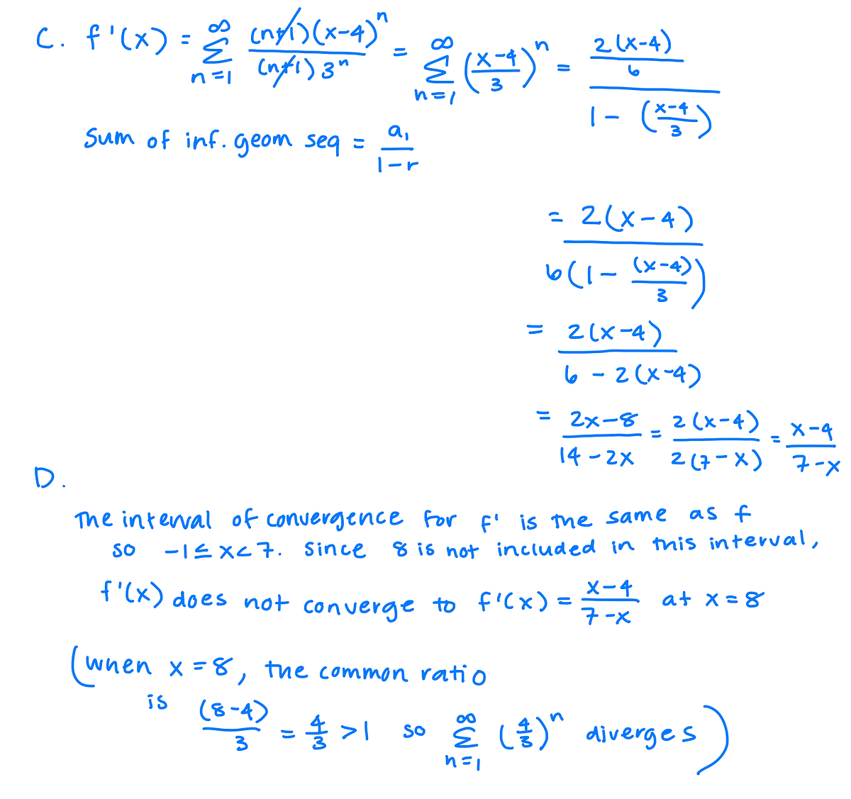
BC Question 6


Reflections:
We thought this year’s questions were very doable but with a few more twists than in previous years. Finding absolute extrema came back with a vengeance after not appearing at all on the 2024 Exam FRQs.
While Question 1 was not a true “rate-in/rate-out” question, we did appreciate the slight nod to it in part d when we were told that measures were taken to counter the spread of the species.Taking the derivative of an accumulation function showed up multiple times on this year’s exam including in part d of this question.
Taylor polynomials and Taylor series were featured in two different BC FRQs this year with Question 6 being quite a bit harder than Question 5, in our opinion. We also anticipate that students might struggle with Question 2 (polar), especially part c. Hopefully students got the easy related-rate point in part d!
Question 3 that was identical on both the AB and BC Exams was by far the most straightforward. We hope students felt confident about this one! And did we appreciate that the teacher reads faster than the student? Yes. Yes, we did.
And the biggest surprise for us this year? No separation of variables to find a particular solution to a differential equation!
Note that for the sake of these solutions we have simplified our answers a bit more than we might recommend to students. Remember that all equivalent answers are accepted!
What did you think about this year’s questions? How might they inform our teaching practice moving forward?
Want more classroom-ready tools like this? Math Medic provides a full library of lesson plans, formative assessments, and teacher guides designed to help students thrive in AP math courses.


