Early Solutions to the 2025 AP Precalculus Free Response
Math Medic
The second ever AP Precalc Exam took place on Tuesday, and we’re here to offer our early attempt at solutions to the four free response questions. Luckily, we knew what questions were coming, since all the AP Precalc FRQs are based on task models that the College Board shared with us throughout this school year. True to their word, the College Board gave us four questions that reflected the four task models:
FRQ 1: Function Concepts
FRQ 2: Modeling a Non-periodic Context
FRQ 3: Modeling a Periodic Context
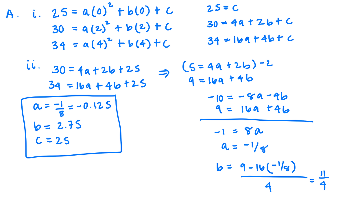
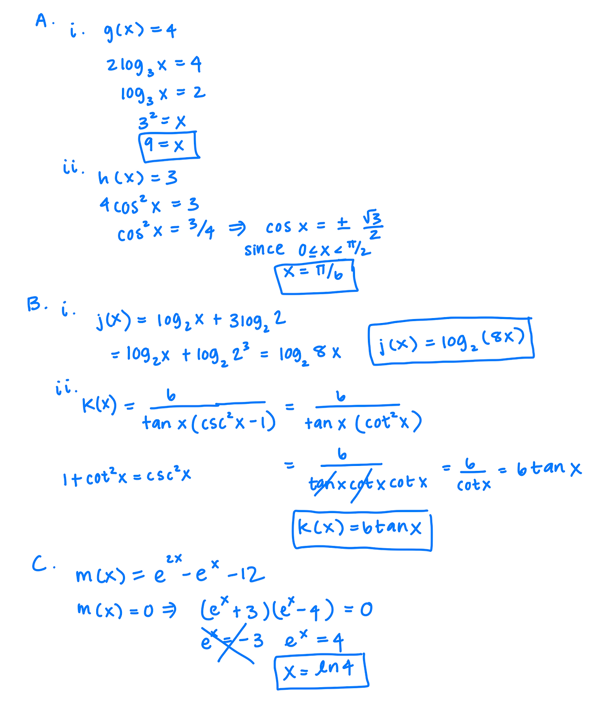
FRQ 4: Symbolic Manipulations
You can see this year’s AP Precalc questions here. Although the official scoring guidelines don’t release until the summer, here’s a first attempt at solutions. (Please be gentle if we have any errors!).
FRQ 1: Function Concepts

FRQ 2: Modeling a Non-periodic Context


FRQ 3: Modeling a Periodic Context

FRQ 4: Symbolic Manipulations



