Using Questions to Move Student Thinking Forward
Sarah Stecher
This is the second post in a two-part series on how we can use questions to draw out and extend student thinking. In the first post, we discussed a simple practice to revolutionize your teaching. Now, we’ll turn to some teacher moves we can use to help students build a bridge from their current understanding toward the intended learning outcomes of the day.
Peg Smith and Mary Kay Stein use the terms “assessing questions” and “advancing questions” to distinguish between the two types of questions we might use when monitoring group work. Assessing questions are used to draw out student thinking and to make students’ “in-their-head” ideas visible and accessible to others. These questions help you understand a student’s strategy and then challenge students to articulate their ideas in a way that others can understand and use them as well.
Once we know what students are thinking, how do we help them go beyond what they currently know and to consider ideas that they’re not currently thinking about? This is the purpose of advancing questions.
A quick overview of advancing questions:
Used to build a bridge between current understanding and the learning goals
Are specific to a student’s strategy–they must build on what a student is already thinking about
Should focus students’ ideas toward a big understanding instead of funneling them toward the answer
A Classroom Example
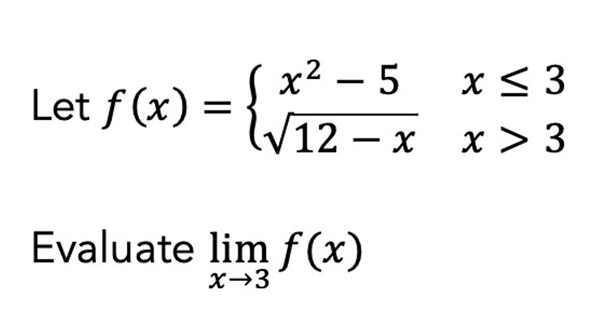
Let’s see this in action. Suppose you’re teaching AP Calc and are in the first unit on limits. Students know how to evaluate limits graphically and from a table and they’ve evaluated some limits analytically using direct substitution, but only when the function is defined by a single equation. You now want to help students reason about evaluating limits of piecewise functions, but through a problem solving approach, instead of a procedural approach. You give students the problem below, then check in with groups as they are working. You notice the groups are struggling a little bit. Below are two transcripts of possible conversations a teacher could have with groups. Which set of questions do you think is more effective in reaching your goal of deep, conceptual understanding?


Reflection
You probably noticed that both teachers rely heavily on questioning to move student thinking forward. However, the first transcript shows funneling questions that move students toward a particular answer and eliminate almost all of the cognitive load from the student. By breaking the process of evaluating a limit into tiny bite sized chunks (in a genuine effort to be helpful) the student misses out on opportunities for sense making. While the student is asked to recall that the limit exists if “both sides match”, most of the other questions focus on simple function evaluation skills and numerical comparison, which is not the goal of the lesson. Because of this, it is unlikely that students will be able to use the teacher’s guidance to solve other related problems (such as finding the value of a parameter so the limit does exist at some particular x-value). Furthermore, the line of questioning does not incorporate or depend on the student’s thinking.
In the second transcript, the teacher uses assessing questions to unpack what the group is thinking and pushes for precision so students learn to clearly articulate ideas. The questions are in direct response to what students have come up with. There are two key uses of advancing questions: when the teacher asks students to visualize the graph (something they had not done yet, but alluded to in their description of how to evaluate a limit) and when the teacher asks/wonders how they might use the equation to determine key information about the graph (pushing students to connect multiple representations, something they also had not done yet in this conversation). Note the teacher walks away leaving students to wrestle with her open-ended question.
In an effort to make a student’s contribution more accessible to others, I often find myself summarizing it in the way I wish the student said it, and then realize this is not at all what the student was saying or thinking. I have to constantly remind myself that the goal is not for students to think how I think or to say it like I would say it or to do a problem the way I would do it, but to be able to make sense of problems and build up from their current understanding. Just getting an answer is not enough!
Things you can try immediately
Anticipate student responses on tomorrow’s lesson and write a few advancing questions that will move students’ thinking forward
Ask students what they’re thinking so far.
Use “tell me more” to build on a student’s response. Many times the student can make connections themselves by being given opportunities to verbally process ideas.
When you ask an assessing question, stay to listen to the answer. When you ask a more open-ended advancing question, walk away and check back in later.
If you’re feeling really bold: record yourself for one class period (audio only is fine) and later reflect on all the questions you asked. Did you use assessing questions to clarify student ideas? Did you tend toward funneling questions or focusing questions? Or, have a colleague on his/her prep period sit in on your class and keep track of the questions you ask.


