Early Solutions to the 2022 AP Calculus AB Free Response
Math Medic
We’re excited to once again share with you our early solutions to this year’s AP Calc AB Free Response Questions. We love seeing the new questions and working through them, always amazed at the original ways the College Board incorporates multiple concepts into a single question.
Some of of our exam predictions turned out to be spot on, but we definitely missed the return to an area/volume question on the calculator portion! And no function mash-up question on this year’s exam, unfortunately.
You can see this year’s AB questions here. Although the official scoring guidelines don’t release until the summer, here’s a first attempt at solutions. (Please be gentle if we have any errors!)






Reflections:
Overall, we thought this year’s exam was very reasonable. There were several questions that should have boosted our students’ confidence (like 1a, 2a, and parts a, b, and c of question 4), and we expect many students to get these right. Question 4 gave multiple opportunities to take advantage of the College Board’s “all equivalent answers are accepted” policy.
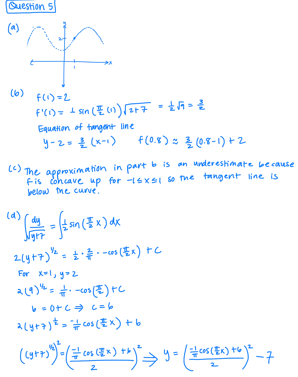
The differential equation in question 5 may have thrown some students for a loop, as it required some more challenging integration techniques (including u-substitution!). Hopefully they were able to earn a few points on parts a, b, and c!
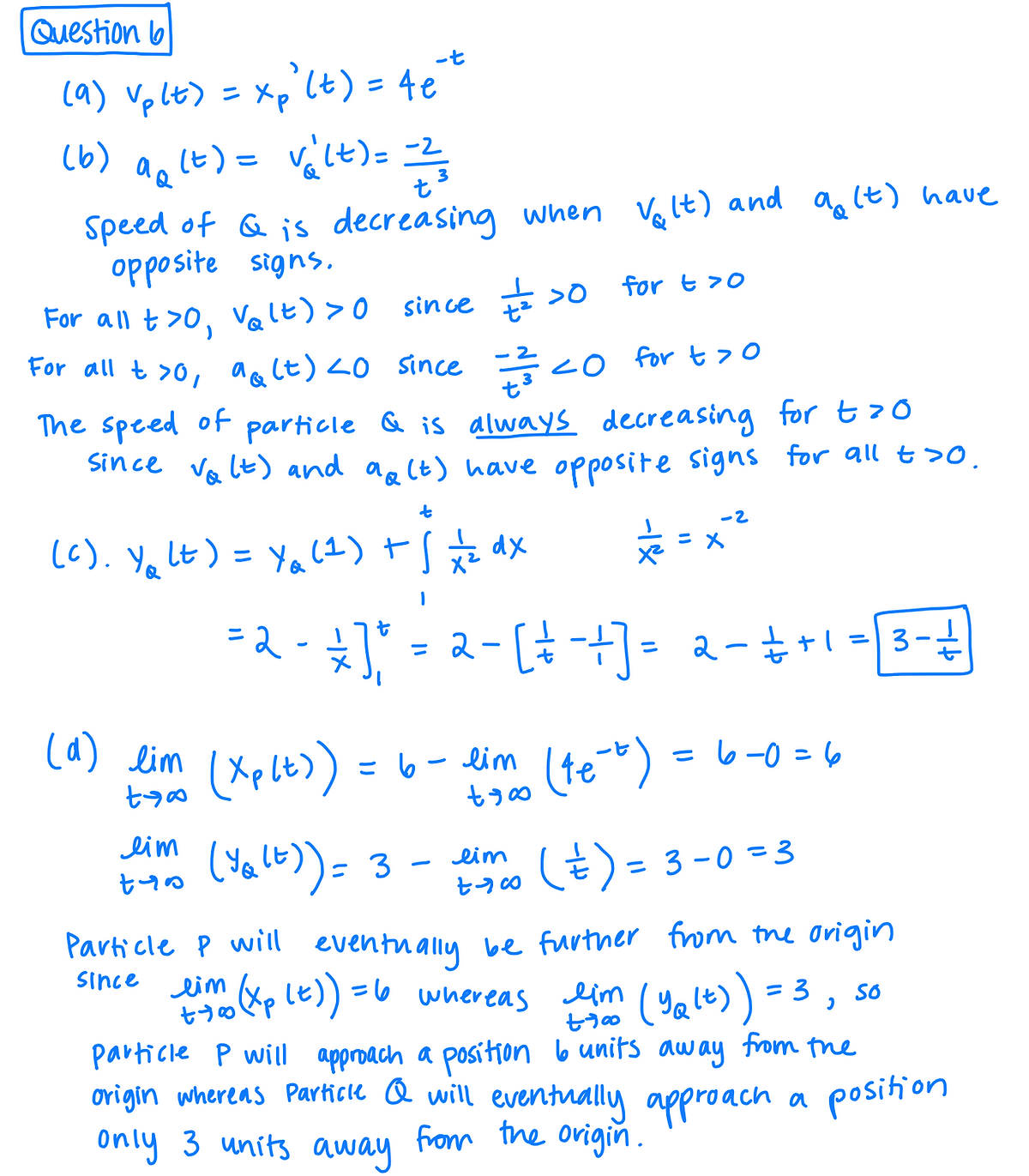
Question 6 resembled some previous particle motion questions with a few key twists! We like that the particles moved on two different axes and that particle Q’s speed was always decreasing. Turns out that knowing some key function behavior can come in handy. Precalculus for the win!
What did you think about this year’s questions? How might they inform our teaching practice moving forward?


