Math Medic Assessment Samples
Math Medic
Last year we launched the Math Medic Assessment Platform! One of our favorite features is the ability to share ready-to-use assessments with teachers who are using the Math Medic lessons. We know there is no shortage of available practice problems on the internet, but what makes these assessments different is that they 1) are aligned to the Math Medic lessons, and 2) continue developing the conceptual learning and problem solving students did in class.
For each of the four Math Medic courses, we’ve created
A homework assignment for every lesson
Quizzes for every unit
A test for every unit
When creating these assessments, we designed them to be used as a continuation of the Math Medic lessons that were taught in class. We included questions that assess skills and thinking. Let’s dig into what that looks like.
How do our assessments support and extend the learning students did in class?
We’ll explore this question by looking at a specific Algebra 2 lesson. This lesson is from Unit 2 on Linear Systems, and the lesson focuses on the number of solutions. A big idea of the lesson is connecting contextual, graphical, and algebraic representations of linear systems with no solutions and infinitely many solutions. A snapshot of the lesson is shown below.

As you can see from the answer key, students developed an understanding of how the number of solutions to a system can be found graphically (intersecting, parallel, or coinciding lines) and by connecting the contextual features (cost to join the club and cost per coffee) to the algebraic and graphical features of the lines in the system.
The questions we ask on a homework assignment, quiz, or test should develop and assess this conceptual understanding and also give opportunities to build fluency.
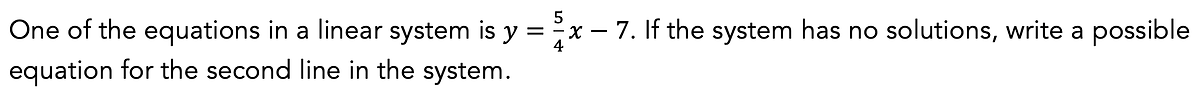
Here is a homework question from our Lesson 2.2 Homework Assignment:

Notice that the question addresses the same conceptual skills but asks students to transfer their understanding to a more abstract context. The question is open-ended, asking students to generate a possible equation for the second line. This requires students to understand that the graph of a system with no solutions has two parallel lines, and that parallel lines have the same slope but a different y-intercept.
To see the full Algebra 2 Lesson 2.2 Homework Assignment, download the file here.
Let’s see how this same idea might show up on a quiz.

Note that this question now incorporates linear equations in standard form where the slope and y-intercept is not as easily visible. However, given students’ work in Lesson 2.3, they know that a system of equations resulting in a contradiction (like 0=-15) has no solutions. This question incorporates more ideas but is less open-ended.
To see the full Algebra 2 Lessons 2.1 to 2.4 Quiz, download the file here.
On the test, we give students another opportunity to demonstrate understanding of the number of solutions, but we vary the question by providing two different representations of linear equations, neither of which are algebraic. We want students thinking flexibly and strategically about determining the number of solutions of a linear system. Instead of having to go through a set of predictable steps to solve the system and then interpret the solution, students can notice the critical features of a system from a variety of representations.

To see the full Algebra 2 Unit 2 Test, download the file here.
The Math Medic Assessment Platform is available now! The price for an annual Assessment Platform subscription is $395 for one year of access for access to Algebra 1, Geometry, Algerba 2, and Precalculus. AP Courses can be purchased separately for $225. Individual teacher subscriptions are available for purchase online. However, if your school requires purchase orders or payment by check, we can help you get started sooner, as we know this process can sometimes take a while.


