Staying Out of the Gray Zone
Math Medic
Here we are, embarking on another new school year and we have big plans to make this one the best yet (or maybe we are just trying to stay afloat this time!). Either way, I always try to start the year by considering what I’ve learned at the AP reading that will affect how I teach this new group of students. What did students lose points for that I could easily fix in my classroom? What misunderstandings did students seem to have on the exam? How do I improve my game?
These ponderings inevitably lead me to consider how to keep my kids out of the “gray zone” and keep them in the “green zone”. What do I mean by this? “Green zone” responses mirror the scoring guidelines we find on AP Central and would clearly earn the points available. “Gray zone” answers have some correct aspects, but it isn’t clear whether this response is solid enough to earn all of the points. So we want our kids to consistently give us work that is in the “green zone”, right? Here is how I plan to accomplish this mission:
1. Limit Notation
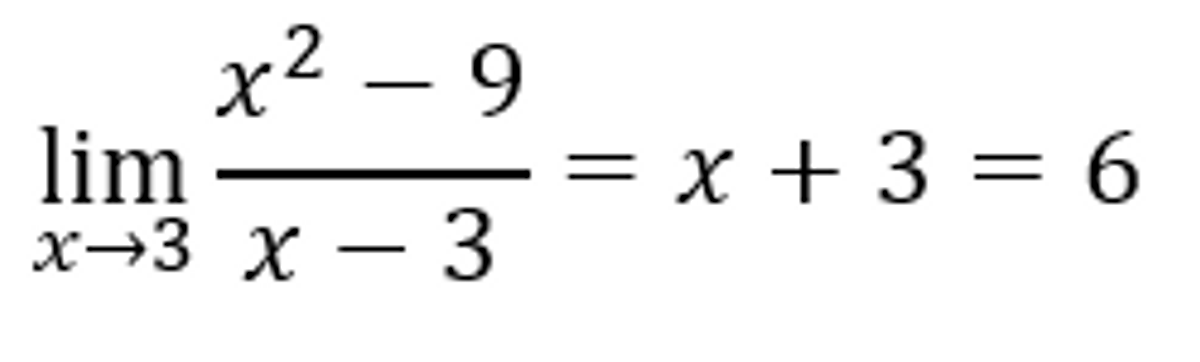
We know that using correct notation is part of the aim of Mathematical Practice 4 (Communication and Notation), but we also know our students sometimes get lazy about using it. Consider this example:

The answer is clearly correct, but the limit is not really evaluated until the 3 is substituted in for the x. For that reason the x+3 needs limit notation too! Does this really matter? Sometimes, yes! The response above is clearly in the “gray zone” and whether it would receive full credit on the AP exam or not is hard to predict. For that reason, I will expect limit notation for every step of a problem until the limit is actually evaluated, a true “green zone” response. More importantly, expecting correct limit notation in Unit 1 will pay dividends later in Unit 4 when L’Hospital’s Rule appears. In fact, the scoring guidelines for L’Hospital’s Rule often state explicitly that limit notation is required with the ratio of derivatives. If your students are in a good habit of always using notation correctly, they will be in the “green zone”…exactly where we want them.
2. U-Substitution Variables
This is another example of how lack of attention to detail can result in bad communication. Here is what I mean:

There are many good things about this response, including the correct answer! However, in the second line, when the integral is written using the variable u, the limits of integration are still those for x! Many students have said to me that “it doesn’t matter–I’m switching back to x anyway”. Nonetheless, in terms of communication, they have now presented an integral that is NOT equivalent to the first one, even if the correct answer is reached in the end. I always compare this process to buying a new outfit (the new variable u). If you get a new outfit (variable), why would you wear your old shoes (the old limits of integration)? Of course, you’d get a new pair of shoes to go with your new outfit! “Green zone” responses will always remember to wear those new shoes!
3. The Powerful Equal Sign
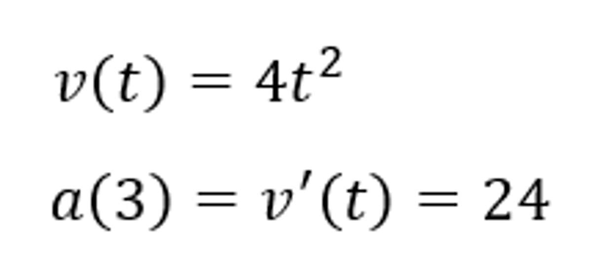
Particle motion problems often appear in free response questions on the AP exam. Many times, students are given a velocity function and are asked to find the acceleration at a certain time. Of course, students know that they should communicate that acceleration is the derivative of velocity, so this is often what we see:

Again, we have a correct final result, so where is the problem? In the second line, the expression a(3)–a specific value–is equated to v(t) which is a function. Essentially, this equation is stating that v’(t) is always equal to 24! Errors such as these almost always result in the loss of a point, even with the correct answer present. I wouldn’t want my students’ responses to maybe earn the points (“gray zone”) so this year I will continue to insist that proper communication is used (“green zone”).
4. Units
We have become savvy in noticing that when an FRQ states “Indicate units of measure”, that generally means those units will earn points. We may also assume that when those directions are missing, any units–correct or otherwise–will be ignored. That is a dangerous assumption to make. My general rule is that if something is incorrect on the page, there is a good chance that a point (or more) could be lost. This again is the “gray zone” and we don’t want to be there! So, my focus will be to expect correct units on all problems where units are given, regardless of whether they are explicitly requested or not.
Although I could add many other items to this list, this is where I will begin to make sure that my students are in the “green zone” this year. They may forget these guidelines sometimes, but I will gently nudge them in the right direction until May 13 rolls around. The payoff will be worth the effort! I hope these ideas have given you something to think about as you start this journey with your students, and I wish you a productive, rewarding year of calculus! May your students always be in the “green zone”!


