STILL Staying Out of the “Gray Zone”!
Math Medic

Karen Sleno is an expert teacher at Flushing High School where she has taught everything from Algebra 1 through AP Calculus and serves as the department chair. Additionally, she is an adjunct instructor at Mott Community College and at the Center for Talented Youth at Johns Hopkins University. In 2022, she won the Michigan Department of Education Regional Teacher of the Year award in Region 5 for her teaching expertise gained over 30 years in the profession. She is a College Board consultant for AP Calculus and has held various roles (including question/exam leader) at the annual AP reading. Her efforts in education and in the AP program earned her recognition as Educator of the Year for her district in 2015.
It’s a new school year! Students and teachers alike are excited to make this one the best one possible. AP teachers in particular are reviewing their Instructional Planning Reports (IPRs) and their 2025 student results and are making plans on how to improve their game for 2026. Yet what do those results tell those of us teaching AP Calculus? Have things changed in the last year? The answer to that question is “yes and no”. Although the AP Calculus reading was quite different than in previous years and the scoring guidelines will reflect that, at the end of the day, what we do as classroom teachers won’t change much. We still want to stay out of the “gray zone”!
Two years ago, I wrote a blog on good teaching practices that will promote clear communication on the AP Calculus exam. Specifically, I discussed the need to be concise, specific, and detailed when responding to free response questions so that the maximum points will be earned. When teachers read the scoring guidelines posted for 2025, they may think the message has changed since 2023. But read on, friends!
The first big change to the scoring on this year’s exam was the introduction of dimensional (or “point by point”) grading. In previous years, students would earn a holistic score between 0 and 9 points on each free response question and teachers would receive a mean score for their students’ performance. Yet what does a mean score of 6 mean? Where were the shortcomings? What content was not clearly understood? Our previous scoring practice did not provide that level of insight for teachers, one of the reasons for the change this year. Now, we would say that that student who earned 6 out of 9 points actually earned 1-1-0-0-1-1-1-0-1 and teachers can now see which individual point means were lower than others. This is important to keep in mind as we begin our journey…
1. SHOWING YOUR WORK
As teachers, we know that the free response questions on the AP Calculus exam are the opportunity for students to truly “show what they know” in writing. Unsupported answers were termed “bald” and most times would earn zero points. You will notice this year that on the two calculator questions, though, teachers will see scoring notes such as in AB2 part (a) where
-
P2 is earned for the correct answer, with or without supporting work.
What??? But let’s step back a minute. In this question, we see that P1 is earned for the “form of integrand” and P2 is earned for “answer”. When you look at your IPR, you will quickly see how your students performed on P1 and P2. If your mean score is higher on P1 than on P2, you know that they were able to set up a viable integrand (which may not have been perfect) but because they did not get to the correct result, there was an error, perhaps in the set-up or in the execution. But what if the mean score for P2 is higher than for P1? Now you know that your students likely did their work on their calculator and got to the correct answer but did not show their work. That is a very different issue…they KNEW the calculus! Our effort, then, as AP readers was to send you, the teacher, a very clear indication of where your students’ strengths and weaknesses were and even if all of their work was in the calculator, the fact that they earned P2 indicates that they knew the content.
2. LINKAGE
In the 2023 blog, I talked about the “powerful equal sign” and why it is critical for students to not use it as a go-to linking tool, but as it is intended…a symbol to join two equivalent expressions/values. Yet in 2025 AB/BC1, you will see scoring notes in part (a) that indicate that “incorrect or unclear communication between the correct integral and the correct answer is treated as scratch work and is not considered in scoring” (emphasis mine). To drive the point home, there are several examples of what this means and ALL of them are examples of the linkage that we are trying so hard to avoid! What has happened?

Again, take a breath, and step back. Recall what P1 and P2 are assessing in this question. P1 is evaluating whether our students know how to set up an average value integral and P2 determines whether they could arrive at the correct answer. If your student knows what average value is and can show that set-up, they earn P1. However, if they get to the correct answer, we know that they knew how to enter that integral into their calculator and we want to communicate that they have that skill by awarding P2. In prior years, examples of linkage in a similar case may have led to a student only earning one of these two points, indicating to you that there was a lack of understanding when perhaps there was not. So, again, our focus was on the message that these two points send to you, the teacher, not on the communication conventions that previously may have resulted in the loss of points.
3. INTEGRALS AND DIFFERENTIALS
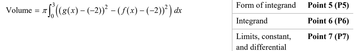
Lest you believe that the high standards set by AP have dropped, let me reassure you that good communication was still assessed on this exam, but it was not assessed in EVERY part of EVERY question. For example, let’s consider part (c) of AB2 where students were asked to set up an integral that would find the volume of a region rotated around the line y=–2. Students could earn up to 3 points on this question as follows:

One might assume that “form of integrand” could mean any difference of squares and that P7 was earned for the correct limits, constant, and differential on any definite integral. Reading the scoring notes a bit closer, though, we see that P5 is only earned for the following:

That requirement to have R and r reflect a difference between f or g and a nonzero constant means that an integrand of (f(x))^2 – (g(x))^2 would not earn P5. More importantly, it also renders the response ineligible for P7. So if our students do not have a relatively strong understanding of how rotation around a line that is not the x or y axis is set up, they will not earn any points in part c. As it is stated,
-
To be eligible for P7, a response must have earned P5.
Furthermore, to earn P7, not only do the limits of integration have to be correct and a pi present in front of the integral, the correct differential must appear as well. THIS is where communication is assessed!
4. JUSTIFYING USING THEOREMS
AP Calculus teachers know that when the task verb “justify” appears, it requires the highest level of clarity in communicating that the requirements of a theorem have been met as well as the result of that theorem. Questions such as part (b) of AB/BC3 have traditionally been scored similarly to 2022’s AB/BC4:

It is also important to note that when students are justifying continuity, it must be as a result of differentiability (meaning that “f is differentiable and continuous” would not earn the point whereas “f is differentiable so f is also continuous” would). This year, though, that communication was assessed a bit differently. In AB/BC3, students were again expected to recognize and apply the Intermediate Value Theorem. However, the two points were awarded in this way:

This year, teachers will know what level of justification their students demonstrated based on their means for P3 and P4. Students who stated that R was “differentiable and continuous” would earn P4 (with the rest of the required information, of course), but would not earn P3. So, if your mean on P3 is low, you know exactly where the shortcoming was! Similarly, if your mean on P3 is higher than on P4, your student did not communicate either the interval or the conclusion correctly. Again, the emphasis is on the information that you can gain from your IPR results!
So, what does that mean for our day-to-day teaching? Should we change our classroom standards to mirror these examples from the 2025 exam? ABSOLUTELY NOT! At the end of the day, the purpose of the AP exam is to gather information in order to assess what students know in all grade bands and to use just 9 points per question to accomplish that. In our classrooms, though, we have multiple opportunities to prepare our students not only for the AP exam but for their future math courses and for their future critical thinking. This means that I will still expect clear work for EVERY problem and for my students to stay in the “green zone” I described back in 2023. Our job as educators encompasses much more than what happens on AP exam day and for that reason, we should keep our eyes on the real prize…what our students will know and be able to apply long after they have left our AP Calculus classroom. Stay strong, friends, and have a fantastic year where you can support your students as they stay in the green zone and out of the gray zone!


