What Does It Mean to “Make Sense of Problems and Persevere in Solving Them?”
Sarah Stecher
If there is one mathematical practice that rules them all, this one is it. Perhaps that’s why it’s listed first. To me this practice is a short but accurate description of what mathematics is, and what we should strive for in our mathematics classrooms. First, we’ll offer some key descriptions of what it looks like to engage in MP1. Then, we’ll take some time to unpack several words and phrases in this practice so we can get a clear idea of what is meant, rather than repeating the somewhat nebulous phrase of “problem solving”. Let’s dig in.
Students who are proficient at MP1 learn to:
Interpret the meaning of the problem, including its constraints, relationships, and goals.
Look for entry points to a solution.
Plan a solution pathway.
Consider similar problems, simpler cases, and edge cases.
Connect information given in multiple representations or construct an alternate representation.
Identify what concepts or prior knowledge are relevant to the problem and how to leverage them to move toward a solution.
Use the results of an unfruitful attempt to plan a new attempt.
Check the reasonableness of their answers.
You may have noticed that some of these skills sound very similar to our lists from MP2 (Reason abstractly and quantitatively), MP7 (Look for and make use of structure) and MP8 (Look for and express regularity in repeated reasoning). This is because the 8 mathematical practices are actually nested. If MP1 is the main goal of mathematics, then MP2, MP7, and MP8 are the three major pathways to arrive there.
Unpacking MP1
“Make Sense”
Note here that this phrase is being used as a verb. It represents an active process of students wrestling with ideas and working to connect them to things they already know. We often use this as an adjective, as in, ‘this question makes sense’ to denote that we understand something, or that it is logical. When we take the adjective perspective, we often assume that what we present to students should already make sense to them, because we taught them the appropriate procedure or algorithm, or because we gave a thorough explanation of why something works. They should look at a problem and know what to do. However, true problem solving is about actively making sense.
“Problem Solving”
Although not combined quite like this in the original phrasing, it is clear that this is at the heart of MP1. Problem solving has become such a buzzword that it can mean everything and nothing. Not every task done in a mathematics classroom can be considered problem solving. Before we become clear about what problem solving is, let’s establish what it is not.
It is not a synonym for “real world application.”
It is not a synonym for “answering questions” (like those you might assign out of a textbook or other resource).
It is not confined to the end of a unit to be used only when students already have a firm grasp of all the definitions, formulas, and procedures.
I have the following 3 criteria when it comes to identifying tasks that actually require problem solving.
Features a question students haven’t seen before or haven’t been asked in that way before. Students don’t immediately know what steps to take based on notes or worked examples.
Centered on conceptual understanding of the topic or background knowledge that allows students to make sense of the problem or manipulate the parts of the problem to try to find a solution.
Requires identifying what prior knowledge is relevant, i.e. what should I be thinking about to make sense of this problem?
When students immediately know what path to take to arrive at a solution, there is no problem solving involved. There is no problem at all, only an exercise. When the path to the destination is clear, there is no productive struggle.
When we breadcrumb students toward a solution with too much scaffolding, we rob them of opportunities for genuine problem solving. While scaffolding is helpful and necessary at times, as teachers we can inadvertently eliminate the problem solving aspect of a problem by telling students exactly what they should be thinking about to solve a problem. Consider the following problem.

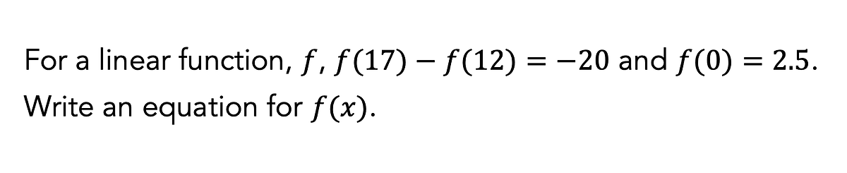
Let’s suppose that students have never been given this combination of information before about a linear function, or perhaps not represented in this way (function notation, rather than a verbal description of the change in outputs and y-intercept). Students don’t have a worked example they can look at to find an answer.
Students who are problem solving will have to:
Understand the definition of a linear function. An equation for f(x) will be the equation of a line, which in its simplest form has a y-intercept and a slope.
Understand the properties of a linear function. There is a constant change in outputs over same size input intervals. If the function goes down 20 over 5 units, it will do so over the entirety of the graph. The choice of x=12 and x=17 might have been arbitrary, but it is sufficient information to calculate the constant rate of change.
Make sense of the function notation. They will have to identify that the first statement is telling them that the y-values at x=12 and x=17 are 20 units apart, and that the y-values are decreasing. They will have to identify that f(0)=2.5 is function notation for the y-intercept.
Notice how many times students are having to identify relevant information—both from the problem and their own prior learning. The ideas about constant rate of change are conceptual ideas. Furthermore, identifying the expression f(17)-f(12) as one component of the rate of change (the change in y-values or outputs) and understanding how this expression can be used to determine the slope is highly conceptual.
Now consider this scaffolded version of the same question.

Return to the bulleted list above. What problem solving aspects do these scaffolds remove? How do these scaffolds tell students what they need to be thinking about?
I am not arguing that there is no place for using scaffolded questions to help students learn to navigate a complex task or prompt. But we should be hesitant to call this genuine problem solving because the aspects that are intrinsic to problem solving, like generating a solution path and accessing relevant prior knowledge, are missing.
“Persevere”
Perseverance is not the same as endurance. Endurance is about bearing something, getting through it, staying the course, like when someone endures watching a long, terrible movie. Endurance is what a student needs when they’re asked to solve 50 one-step equations. Perseverance is not just about sheer will or determination, but about courage to keep going even in the face of obstacles or hardship. Perseverance is what a student needs when they’ve tried 3 different strategies that didn’t work and need to go back to the drawing board yet again. We can teach students to persevere by giving them tasks that are challenging yet accessible, where an initial solution path might be apparent but not necessarily correct. The task should have an easy entry point and evolving complexity. This means the task itself is easy to explain and there is room for exploration. Perseverance is the friendly neighbor of productive struggle, and both are skills that must be taught! For an in-depth explanation of how to do this, we recommend reading “Productive Math Struggle” by John SanGiovanni, Kevin J. Dykema, and Susie Katt.
Problem Solving Can’t Be Taught with a Poster
I wholeheartedly agree with teachers’ desire to help their students learn how to become effective problem solvers. But allow me to let the cat out of the bag and tell you that a poster with the “five steps of problem solving” that is some combination of circling the question and underlining the important numbers is not going to cut it. Problem solving can be taught in as far as it can be developed. It is not something that we can check off a list of standards as something that students have mastered or have not yet mastered. Problem solving takes time and is learned by doing, not merely by observing.
How might you incorporate more true problem solving into your own classroom?


